首页
行业资讯
热点聚焦
行业动向
协会动态
通知/公示
政策法规
关于协会
协会简介
协会章程
组织架构
理事名单
监事会名单
会员名单
党建工作
制度汇编
防疫抗疫
建党百年征文活动
专业委员会
行业自律
廉洁建设委员会
廉洁从业自律规约
行业职业道德准则
会员单位信用档案
行业诚信红黑名单
会员服务
入会申请
会员交流
教科研成果评选
教师继续教育
教师培训
教师教学能力评价
技校教师职称
会员服务项目
技能竞赛
技能竞赛总览
世界技能大赛
国/省职业技能竞赛
深圳市技能大赛
深圳好技师
深圳好讲师
区职业技能竞赛
深港澳产教融合大赛
技能英才
鹏城工匠
技能菁英
好技师
好讲师
技术能手
行业服务
培训服务
教研教改
鹏城工匠评选
技能菁英遴选
教师节表彰
职业技能鉴定
高技能人才训练基地
技师工作站
大师工作室
技术改造服务
展示服务
在线服务
竞赛报名
培训报名
教师教学能力评价报名
会议/讲座/活动报名
资料下载
查找
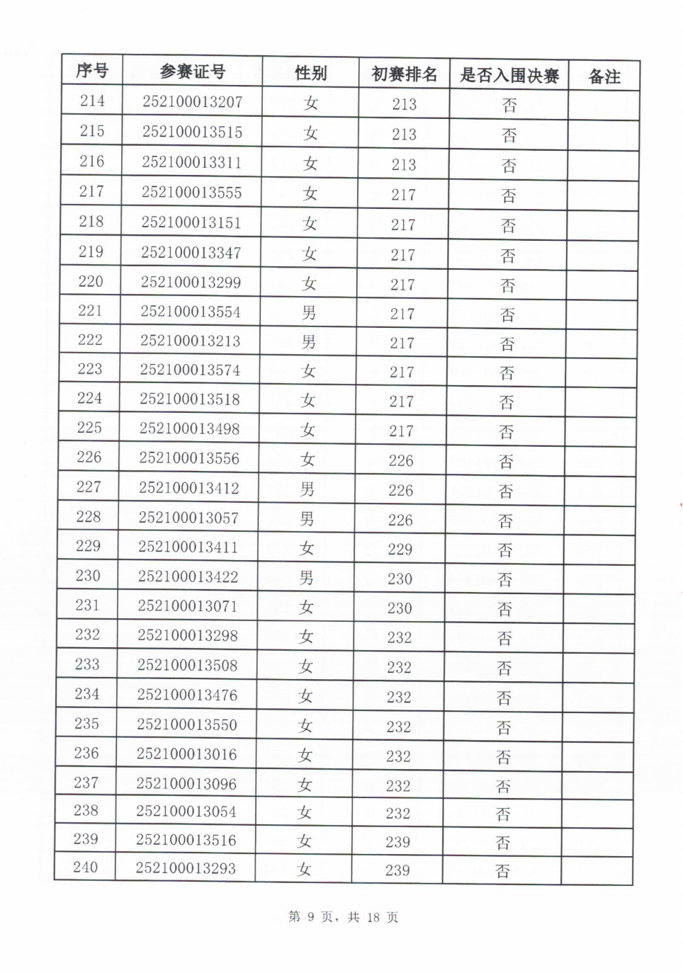
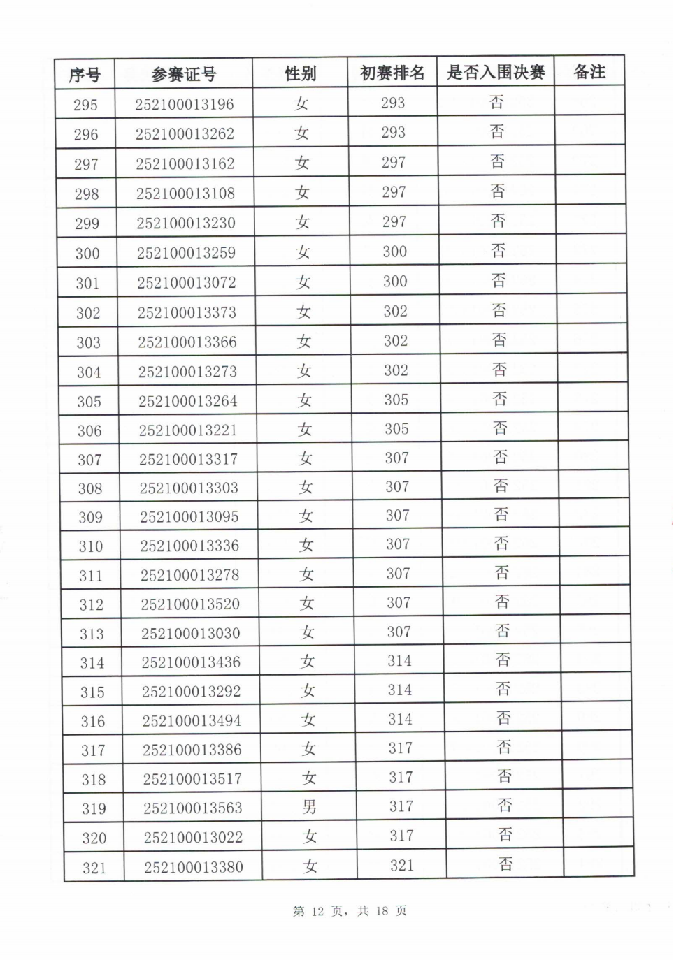
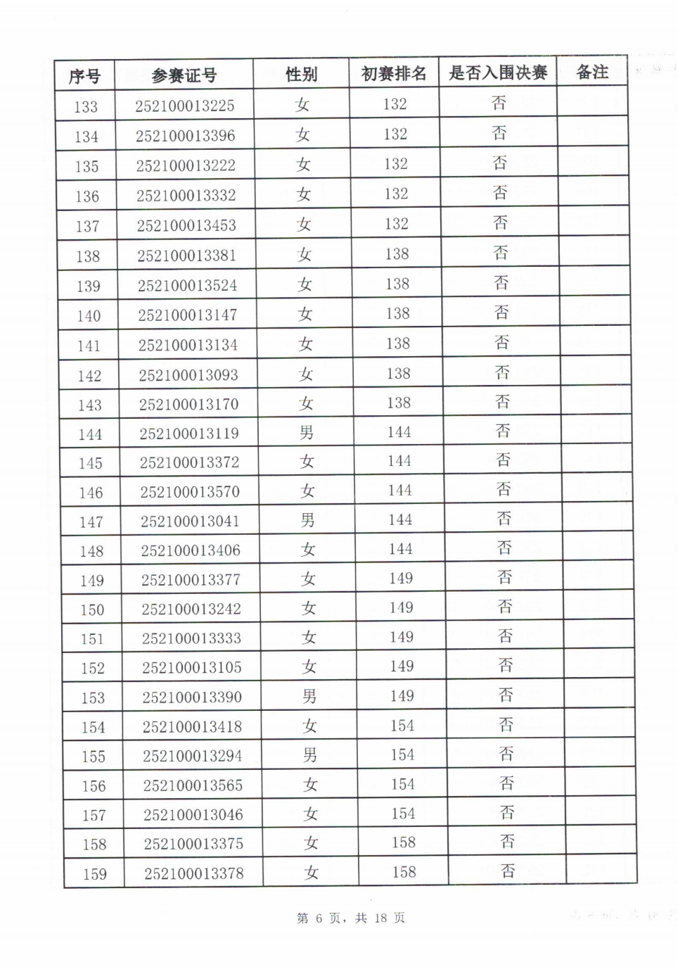
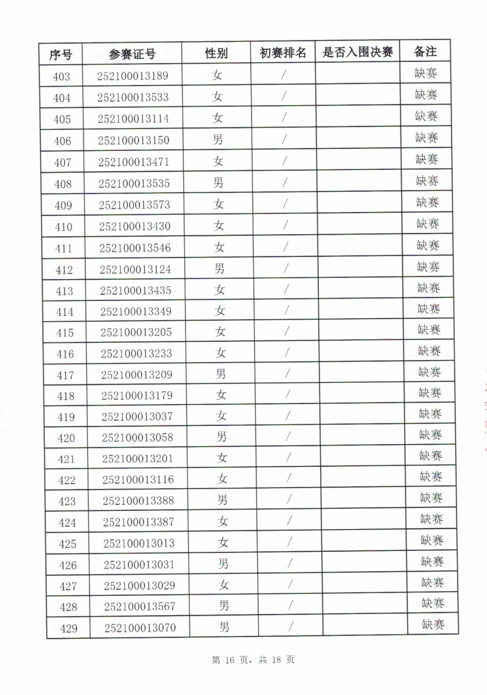
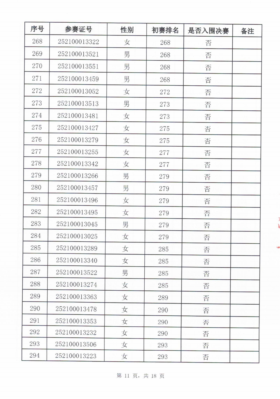
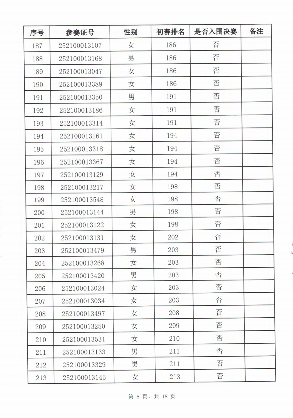
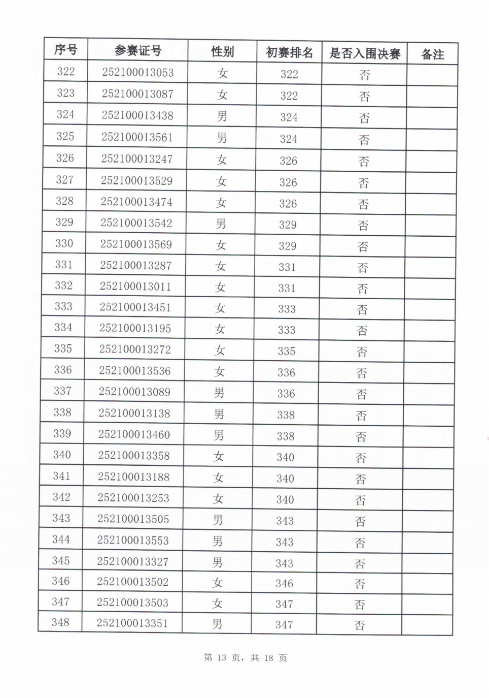
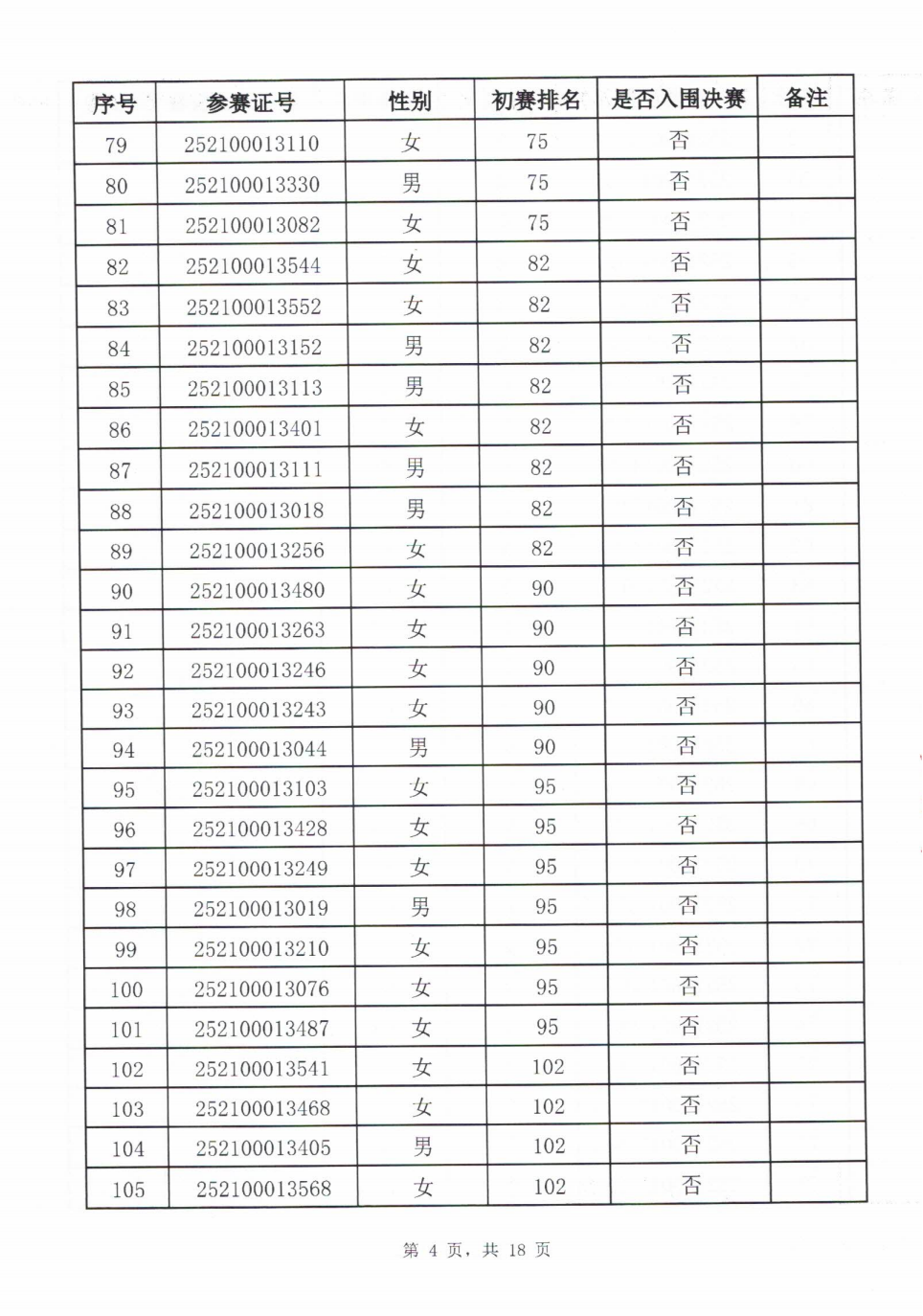
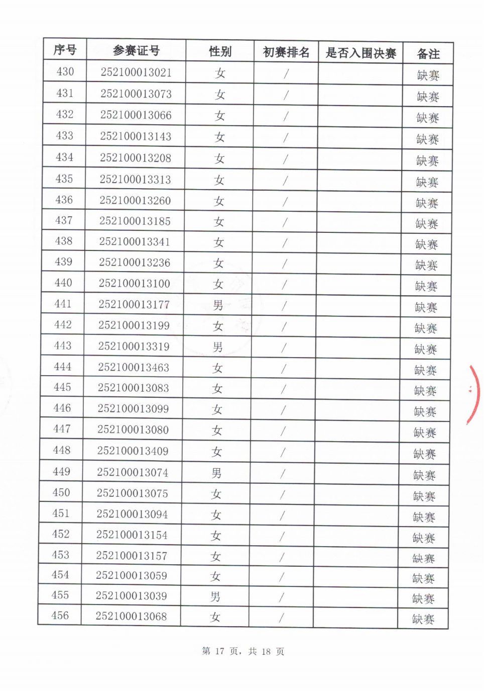
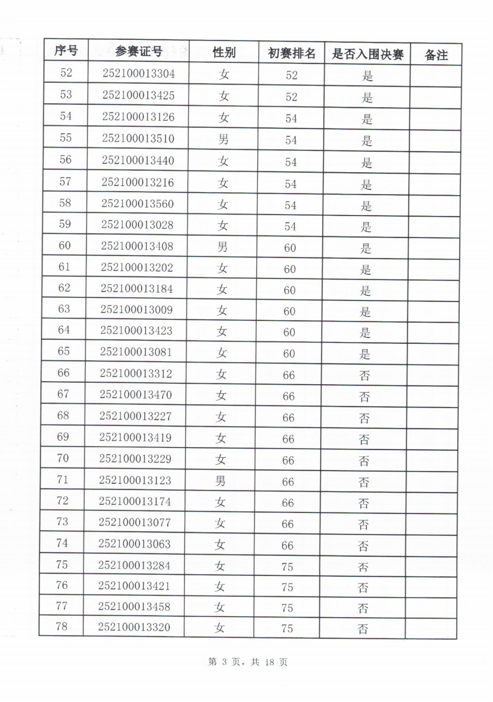
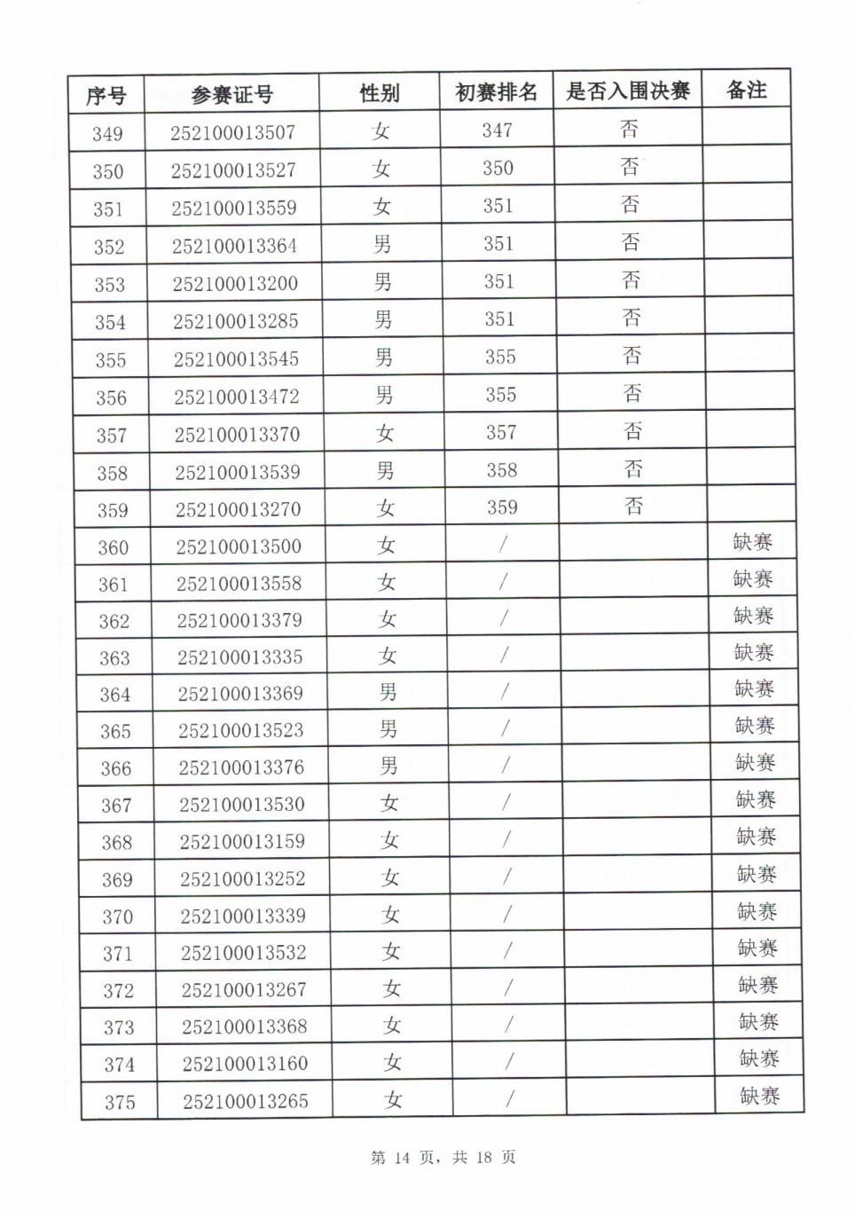
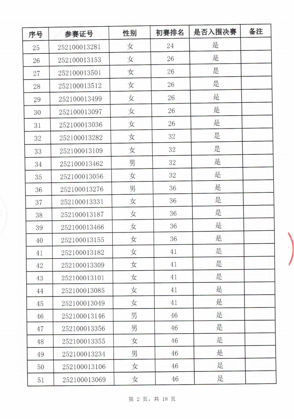
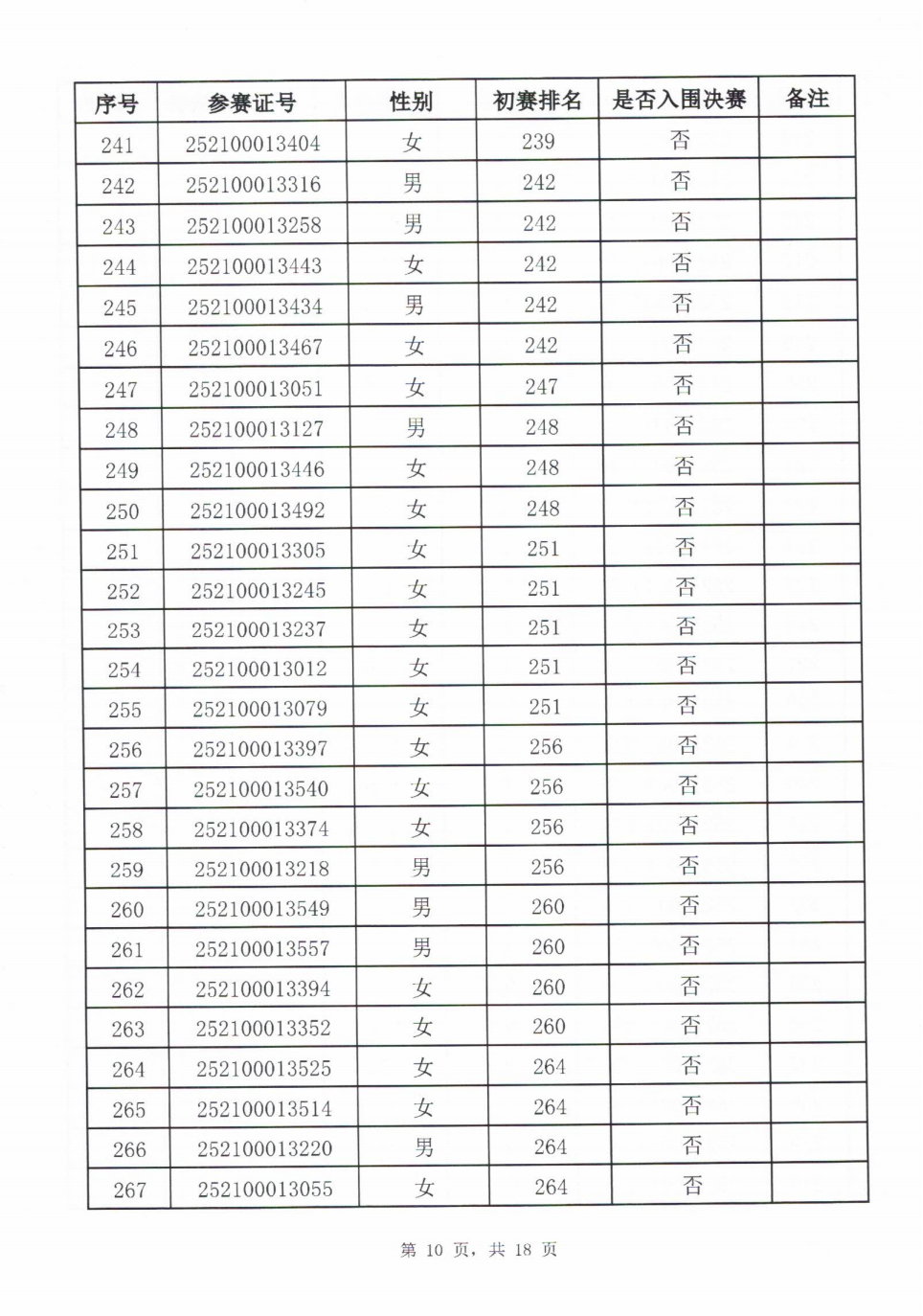
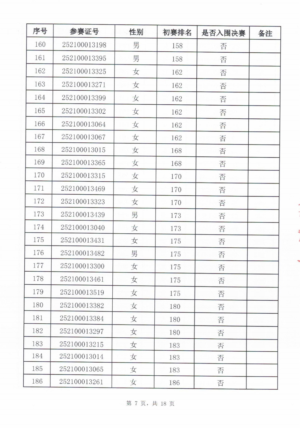
深圳市第十五届职工技术创新运动会暨2025年深圳技能大赛—档案数字化管理师职业技能竞赛
微信
置顶